收藏本站
热门搜索: A3500  E1910  A1360  25200056  dmem  

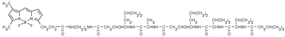
PEPSTATIN A- BODIPY(R) FL

 
包装: 25 UG
运保温度: Store at -20°C
到货周期: 登录后查看
标准价: ¥客户可见
会员价: ¥客户可见
积分: 客户可见
 
登录之后可加入购物车购买,请您 
对比 收藏

运费与支付说明:

1.含干冰类产品有运费;

2. 必须现金付款或有信用额度的会员才可以直接发货,否则需要等待现金付款信息。

描述:

For the study of cathepsin D trafficking in cells by fluorescence microscopy, try our BODIPY FL pepstatin A. This green-fluorescent probe, which inhibits cathepsin D in vitro (IC50 ~50 nM), targets cathepsin D within lysosomes of live cells. Initial studies with this new probe indicate that it is transported to the lysosomes of live cells via an endocytic pathway and that it can be competitively displaced by unlabeled pepstatin A.


注意事项:

For Research Use Only. Not for use in diagnostic procedures.


相关图片

本产品可用于的实验

购此产品的人还购买了

京ICP备15036693号-2    京公网安备11010802025653    版权所有:北京逸优科技有限公司       0.03

 纠 错