收藏本站
热门搜索: A3500  E1910  A1360  25200056  dmem  

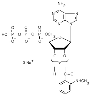
2-(OR-3)-O-(N-METHYLANT

 
包装: 400 UL
运保温度: -20°C
到货周期: 登录后查看
标准价: ¥客户可见
会员价: ¥客户可见
积分: 客户可见
 
登录之后可加入购物车购买,请您 
对比 收藏

运费与支付说明:

1.含干冰类产品有运费;

2. 必须现金付款或有信用额度的会员才可以直接发货,否则需要等待现金付款信息。

描述:

The nucleotide analog MANT GDP is modified on the ribose moiety. The compact mature of the MANT fluorophore and its attachment position results in nucleotide analogs that induce minimal perturbation of nucleotide-protein interactions. Because MANT fluorescence is sensitive to the environment of the fluorophore, nucleotide-protein interactions may be directly detectable. MANT nucleotides are valuable probes of the structure and enzymatic activity of nucleotide-binding proteins.


注意事项:

For Research Use Only. Not for use in diagnostic procedures.


相关图片

本产品可用于的实验

购此产品的人还购买了

京ICP备15036693号-2    京公网安备11010802025653    版权所有:北京逸优科技有限公司       0.03

 纠 错