

![]() |
|
||||||||||||||||||||||||||
注意事项:
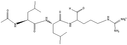
Note: Leupeptin gives multiple peaks on HPLC due to equilibria among three forms in solution. Purity determined by HPLC should take into account the three main peaks.11 Majority of contaminating peptide is racemized leupeptin.
The primary mechanism of inactivation is racemization of the L-arginal; the D-arginal form is totally inactive. If the aldehyde is oxidized but retains its L-configuration, the resulting compound does have some inhibitory activity.
相关图片
本产品可用于的实验
京ICP备15036693号-2
京公网安备11010802025653 版权所有:北京逸优科技有限公司